中学受験 逆算(少しずつ増やしていくページ4)
概要
四則混合の逆算の練習です。
vol.2作成中(現在2問目)
経過

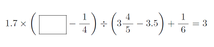
vol.2の2問目を作りました。2014渋谷教育学園渋谷中の問題を参考にしました。最初のほう、大きめではあるもののやりやすい通分になるように調節しました。
第1回完成版はこちら

1問作りました。この問題から2巻目とします。
7,8問追加したらまた新しいセットにします。
それがたくさん集まったら(いつになるかは不明)それらの集合体を作って、そこまでしておけば、たいていのパターンが含まれるといえるので終わりにできそうです。道のりは長いですが少しずつ作ります。
中学受験算数計算のページの問題を、答えと問題の一部の入れ替えをして逆算の問題にしました。
5種類追加されて計8種類になります。
そのうち、元から逆算の問題だったものはたったの2つで、あとは計算問題を無理やり作り変えたものです。
計算過程で負の数になるようなことはないと思いますが、
やはり難問か解いてみたところかなり難しいものがありました。
これぐらいの問題がきちんとできたら計算に自信を持てるでしょう。
急いで解く必要はないですよ。丁寧に行きましょう。
ポイントをまとめたPDFファイルか画像ファイルを追加で作ろうと思います。(いまさっきサーフェスのペンを買ってきたので手書きで作るぜ!)

という感じの問題を追加しました。参考もとは最初と同じ
早稲田中学校です。平成18年度第1回問1の(1)です。
昨日も書きましたが、もとから逆算の問題を参考にするほうが、それなりにポイントを押さえてあって、ただ難しいだけではない面白さがあるように思います。
ただ、せっかく作ったデータの再利用ができるので、計算問題の途中と答えを逆にして作った問題(26日版の後半のようなタイプ)もちょくちょく作っていこうとは思います。
新しく追加した問題だけのPDFはこちら

逆算についてのページを作り始めました。
このページにある問題の作成方法には2通りあって、
ひとつは実際の入試問題を参考にしたもの、
もうひとつは中学受験算数計算で作成した問題を、答えと問題の一部の入れ替えをして計算式に空欄を作ったものです。後者は問題データの再利用という意味で大変楽に作れますが、その反面、元が逆算の問題ではないので難しくなってしまうことがあるかもしれません。実験的な意味もあるのでしばらくは両方作っていきます。
今回追加したものは、平成19早稲田中学校第1回1(1)を参考にしました。ページの前半にあるものがそれです。後半は、数日前に作成した通常の四則混合をもとにして、空欄を作ったものです。
続編