かみのドリル

2294244

(入試類題)四則混合の計算ドリル

概要

入試問題の最初のほうに出てくることが多い計算問題を集中的に練習します。 元の計算問題は実際の入試問題から選び、ポイントとなりそうな特徴をのこしつつ数値の変更をおこなって類題を作りました。

経過

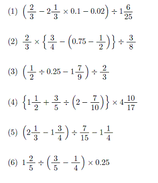
「分数の計算(小数・四則混合III-1)計算例」を作成しました。

検索ワードからニーズをキャッチしようと見ていたら、 計算の途中式を探してる人がいたので作ってみました。
約分まで丁寧に書きました。 あまりにも単純な計算、たとえば、「÷帯分数」となっている 部分を、 「帯分数から仮分数に直して÷を×になおしてひっくり返す」 ようなものはさっさと1行で済ませてあります。

割とスムーズに作れたので、人気があったら今後の計算ドリルは こういった計算の途中式をつけてみようと思います。

分数の計算(小数・四則混合III-1)を作成しました。 ファイルの番号がだんだんごちゃごちゃになってきていて だいぶわかりにくいと思いますが、分数の計算(四則混合II)の続編 に当たります。

山脇学園中学校1999〜2003の問題より

ファイルは2個あり、
ひとつは参考元の問題を示し、特徴(私の推測です。作成した人に聞いたら違うといわれるかもしれません。)を示し、同じ特徴を持った類題を集中的に練習する形式です。
もうひとつは、6タイプがバラバラに混ざって出題されます。仕上げ用です。解答には元にした問題が何番だったのかを示してあるので、まちがえた時の参考になると思います。

PDF

III-1は参考元として、手元にあった山脇学園中学校の1998年から2003年までの過去問から、分数小数の計算を扱ったものを選びました。 入試問題の類題では毎回書いておきますが、私は参考元の問題の出題校とは一切かかわりはありません。 手元にあって難易度が丁度よいものを選んでいます。

つづき

中学受験算数計算というページを2017年8月に作りました。ここと同じように、入試問題を参考にして計算練習をするドリルを作っていきます。 そういうわけでこのページはここで終わりにします。