平方完成の計算練習
概要
平方完成を練習します。2次関数がかかわる問題ではほとんど必ずこの変形を行うので、じっくり練習してみてください。
基本的な計算と、それを応用した次の図のような問題を練習します。

いずれも教科書に載っているレベルで一般的なものです。
経過
基本的な計算問題を追加しました。はじめに解説もつけたのでよかったら読んでください。
ドリルは3種類の問題から出来ています。はじめは2次の係数が1か-1のものを練習して、その後分数の係数のものに移っていきます。
期日不明
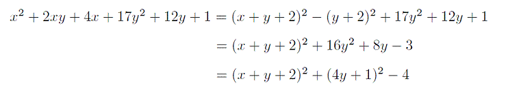
平方完成を2回連続で行い、与えられた式の最小値とそのときのx、yの値を求めるものを追加しました。これは教科書、問題集に必ず載っているタイプです。
x、yのどちらからでもいいですが、必ず両方について平方完成してください。解答には答えだけではなく式変形も示してあります。
続編
構想中