二次方程式のドリル
概要
二次方程式の練習です。
解が無理数になる(解の公式を使う)ものと、有理数になる(因数分解を使う)ものを練習します。因数分解を十分にできるようになってから使用してください。
経過
作成しました。
続編
あまり代わり映えしませんが、解の公式の前にやる、平方完成を行うものをつくろうと思います。
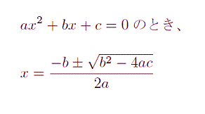
2通りの解の公式について
xの1次の項の係数が偶数のときとそうでないときで公式を使い分けてみてください。次のようになります。違っているところを太字赤にします。
ax2+bx+c=0
通常、最初に習うほうです。

「にーえーぶんのまいなすびー、ぷらすまいなするーとびーじじょうまいなすよんえーしー」
ax2+2bx+c=0
これはつまり、xの係数が偶数のときです。このときには次の式のほうが計算が簡単になります。aとcは上の式と同じものを使いますが、bは上の式でいうbの半分です。偶数なら半分にしても整数ですね。

「えーぶんのまいなすびー、ぷらすまいなするーとびーじじょうまいなすえーしー(ただしxの係数が2b)」
2つめの解の公式はできれば覚えるようにといわれることがほとんどのようです。計算の手間が少し減るだけですからそれも当然かと思いますが、私は絶対に使い分けたほうがいいと思います。